Lorentz transformations

PrintPrint

Nature of science:

Pure science: Einstein based his theory of relativity on two postulates and deduced the rest by mathematical analysis. The first postulate integrates all of the laws of physics including the laws of electromagnetism, not only Newton’s laws of mechanics. (1.2)

Understandings:
  • The two postulates of special relativity
  • Clock synchronization
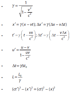
  • The Lorentz transformations
  • Velocity addition
  • Invariant quantities (spacetime interval, proper time, proper length and rest mass)
  • Time dilation
  • Length contraction
  • The muon decay experiment

Applications and skills:

  • Using the Lorentz transformations to describe how different measurements of space and time by two observers can be converted into the measurements observed in either frame of reference
  • Using the Lorentz transformation equations to determine the position and time coordinates of various events
  • Using the Lorentz transformation equations to show that if two events are simultaneous for one observer but happen at different points in space, then the events are not simultaneous for an observer in a different reference frame
  • Solving problems involving velocity addition
  • Deriving the time dilation and length contraction equations using the Lorentz equations
  • Solving problems involving time dilation and length contraction
  • Solving problems involving the muon decay experiment
Utilization:
  • Once a very esoteric part of physics, relativity ideas about space and time are needed in order to produce accurate global positioning systems (GPS)

Aims:

  • Aim 2: the Lorentz transformation formulae provide a consistent body of knowledge that can be used to compare the description of motion by one observer to the description of another observer in relative motion to the first
  • Aim 3: these formulae can be applied to a varied set of conditions and situations
  • Aim 9: the introduction of relativity pushed the limits of Galilean thoughts on space and motion
Guidance:
  • Problems will be limited to one dimension
  • Derivation of the Lorentz transformation equations will not be examined
  • Muon decay experiments can be used as evidence for both time dilation and length contraction

Data booklet reference:

 

Previous page | Next page